목차
시험 전문 블로거, 시포터 입니다. 곧 다가올 국가공인 메인 자격증 중 하나인 공인중개사 시험의 시험 접수일정이 발표되었습니다. 워낙 많은 수의 수험생이 몰리는 공인중개사시험이다 보니 항상 서버가 마비되고 시험접수일만 되면 검색어상위권에 하루종일 떠 있죠.
그리고 시험접수일 당일 큐넷의 서버가 다운되거나 버벅거리는 경우가 많아서 많은 분들이 접수를 못하시거나 원하는 시험장을 고르지 못하는 경우가 많게 됩니다.
이런 리스크를 방지하기 위해 오늘은 2024년 제 35회를 맞는 공인중개사시험의 시험접수일정과 접수방법 준비물, 경쟁률등을 알아보려 합니다.
1. 공인중개사 시험 지난 경쟁률

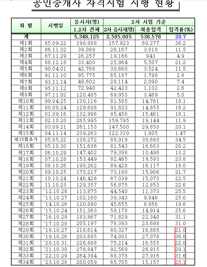
먼저 지난 공인중개사 시험의 합격률을 살펴보도록 하겠습니다. 29회부터 21%-36%-22%-29%-31%-23% 의 합격률을 기록하고 있습니다. 지난 제2023년 제34회 시험이 유독 까다로워서 합격률이 많이 떨어졌는데요.
개인적인 생각엔 20%대 초반 합격률이 이 시험에 가장 접합하지 않나 생각합니다. 30%대 합격률은 너무 많았다고 생각해요.
올 시험도 난이도는 작년과 비슷하지 않을까 생각합니다. 아무래도 변별력있는 과목이 있으면 합격률이 내려가더라고요.
2. 2024년 공인중개사 시험일정

다음은 공인중개사 시험일정입니다. 2024년 시험은 제 35회인데 공인중개사 시험은 항상 8월 첫째 주에 시험접수를 시작으로 모든 일정이 시작된다고 보시면 됩니다.
8월 5일 시험접수를 시작으로 10월 빈자리 접수가 진행됩니다. 시험은 2024년 10월 26일 토요일에 실시합니다. 1,2차 시험 모두 동시에 진행됩니다.
시험 후 한달뒤인 11월 27일 오전에 2024년 제35회 공인중개사 시험 합격자 발표가 있습니다. 이날 역시 서버에 많은 수가 몰리다 보니 우회해서 접속해야 하기도 합니다.
아래 시험 접수 링크를 연결해 놓았으니 로그인 후 바로 접수하실 수 있습니다. 단 8월 5일부터 가능합니다!
3. 공인중개사 시험 접수방법

공인중개사 시험 접수는 큐넷에서 진행됩니다. 8월 5일 오전부터 진행되는데요, 우선 준비사항이 몇가지 있습니다.
1. 사진 가로X세로 3.5X4.5cm를 pc에 스캔해 놓으세요.
2. 응시료 28,000원
3. 큐넷 회원가입
위 3가지가 반드시 필요합니다. 사진은 미리 준비하셔서 반드시 PC에 스캔해 놓으시고, 큐넷 회원가입도 미리 하시길 권해드립니다. 이유는 서버의 불안정 때문인데요.
수십만이 응시하는 시험인 만큼 당일 큐넷 서버의 반응이 느릴 수밖에 없습니다. 그런데 당일 회원가입까지 하려면 더 많은 시간이 소요되겠죠?
원하는 시험장 선택을 위해서 회원가입을 미리 하는 건 필수입니다. 아래 링크에 큐넷 회원가입 페이지를 연결해 놓았습니다.
4. 마무리 및 팁
그동안 저의 경험을 기억해서 팁을 드리자면 응시일 당일 접수를 못한다면 꽤나 곤란하다는 점입니다. 시험장의 수는 한정되어 있고, 수험생은 수도권에 몰려있다 보니 수도권 역세권 주변의 시험장은 언제나 인기가 있습니다.
그만큼 빨리 마감되니 오전에 서두르셔서 원하는 시험장 선택을 하시길 바랍니다.
공인중개사 시험 경쟁률, 최근 5년 과목별 실제 난이도 자세히 설명정리
#공인중개사시험경쟁률 #공인중개사시험난이도 #공인중개사시험합격률 안녕하세요, 시포터입니다. 오늘은 제 전문분야인 공인중개사시험 경쟁률과 난이도, 과목별 난이도와 합격률에 대해서
testjob.tistory.com
2024년 해커스 vs 박문각 공인중개사 학원 비교 추천 3편 (강사, 강의퀄리티, 강의시간 등 )
현직공인중개사의 2024년 해커스 vs 박문각 공인중개사 학원 강의 비교 오늘은 공인중개사 학원의 마지막 편, 2024년 기준 해커스 공인중개사와 박문각 공인중개사의 비교입니다. 이번 편을 마지
testjob.tistory.com
2024년 에듀윌 vs 박문각, 공인중개사 학원 냉정한 비교 2편 (가격, 퀄리티, 강의시간 , 환급 조건
현직 공인중개사가 알려주는 2024년 공인중개사 학원 선택 비교, 에듀윌 vs 박문각 지난 해커스 vs 에듀윌 공인중개사 인강 학원 비교에 이어 오늘은 에듀윌과 박문각의 2024년 공인중개사 학원 인
testjob.tistory.com
해커스 공인중개사 1타 강사 1차 과목 별 추천 정리
안녕하세요, 오늘은 현업 공인중개사인 제가 소개하는 해커스 공인중개사 1타 강사 및 각 과목별 추천 강사를 소개해드리는 시간입니다. 공인중개사 시험으로 유명한 3대 학원으로는 해커스, 에
testjob.tistory.com
해커스 공인중개사 2차 과목 1타 강사 추천 (공인중개사법, 공법, 공시법, 세법) 정리
안녕하세요, 지난 시간에 이어서 해커스 공인중개사 2차 과목 1타 강사 추천을 해 드리려 합니다. 공인중개사 시험 2차 과목은 공인중개사법, 부동산 공법, 공시법, 세법 총 4과목으로 구성되어
testjob.tistory.com
공인중개사 공법 과목 법 파트별 출제비율과 출제문제 수 난이도
안녕하세요, 시포터입니다. 오늘은 공인중개사 자격시험 2차 부동산공법의 공부방법을 소개해드리는 시간인데요. 그전에 공법 과목 법 파트별 문제 출제비율과 계산문제비율, 최신 문제경향을
testjob.tistory.com







'공인 중개사' 카테고리의 다른 글
| 공인중개사 시험 역대 합격률 총 정리 (1회~34회) (2) | 2024.11.26 |
|---|---|
| 2024 제 35회 공인중개사 시험 합격자 발표일 및 합격자 확인 방법 안내 (2) | 2024.11.20 |
| 2024년 해커스 vs 박문각 공인중개사 학원 비교 추천 3편 (강사, 강의퀄리티, 강의시간 등 ) (0) | 2024.04.04 |
| 2024년 에듀윌 vs 박문각, 공인중개사 학원 냉정한 비교 2편 (가격, 퀄리티, 강의시간 , 환급 조건 등) (1) | 2024.03.29 |
| 공인중개사 시험 공부 1 '세법이 중요한 이유' 는 나중에 알게 됩니다. (1) | 2024.03.23 |